Complete Solution of the ADRE Grade III Graduate Level Exam held on September 29, 2024. In this article, we provide not only the questions but also the answers.
Read More:- Complete Solution of the ADRE Grade IV HS Leve, held on September 29, 2024.
1. Which of the following countries does not exist presently?
(A) Switzerland (B) Czechoslovakia (C) Germany (D) Poland
Ans:- (B) Czechoslovakia
2. Which state is the official sponsor of Hockey team of India ?
(A) Punjab (B) Odisha (C) Haryana (D) Uttar Pradesh
Ans:- (B) Odisha
3. What would replace # in the sets ?
{5, 120, 3}, {9, 630, 5}, {9, 810, #}
(A) 8 (B) 7 (C) 6 (D) 4
Ans:- (C) 6
Solution:-
- In the first set, {5, 120, 3}, 5 + 3 =8. Also 5 × 3 ×8 =120.
- In the second set, {9, 630, 5}, 9 + 5 =14. And 9 × 5 ×14 =630
- Following this pattern, in the third set, {9, 810, #}, 9 + 6 =15. And 9 × 6 ×15 =810.
- So, the missing term is 6.
4. What should correctly replace @ in the grid ?
| 13 | 450 | 30 |
| 21 | @ | 8 |
| 32 | 782 | 23 |
(A) 196 (B) 184 (C) 214 (D) 658
Ans:- (B) 184
Solution:-
- Let’s analyze the relationships between the numbers in the rows and columns.
- In the first row:- ( 13 × 30 = 390 ), but 450 is given. So, an addition of ( 450 – 390 = 60). If we double the last digit of the first row 30 ( 30 × 2 =60), we get 60. So, ( 13 × 30 + 60 = 450 )
- In the first row:- ( 32 × 23 = 736 ), but 782 is given. So, an addition of ( 782 – 736 = 46). If we double the last digit of the first row 23 ( 23 × 2 = 46), we get 46. So, ( 32 × 23 + 46 = 782 )
- Following this pattern, let’s calculate for the second row: ( 21 × 8 = 168 ), and we expect an addition similar to the others. Similarly, if 8 is double ( 8 × 2 = 16). Thus ( 21 × 8 + 16 = 184).
- Therefore, @ = 184.
21 \times 8 + 16 = 184
5. From the Constitution of which country, the concept of residual powers in the Constitution of India has been borrowed ?
(A) Belgium (B) Canada (C) France (D) Switzerland
Ans:- (B) Canada
6. Who amongst the following is a wrestler ?
(A) Baichung Bhutia (B) Lovlina Borgohain
(C) Sushil Kumar (D) Karnam Malleshwari
Ans:-(C) Sushil Kumar
7. Which of the following travellers had visited Kamrupa Kingdom ?
(A) Fa Hien (B) Hiuen Tsang (C) Al Biruni (D) Marco Polo
Ans:- (B) Hiuen Tsang
8. Identify the water reflection of the given figure.
Ans:- (C)
9. The remainder when −46 is divided by 3 is :
(A) −2 (B) −1 (C) 1 (D) 2
Ans:- (D) 2
10. The product of the mean and the median of the data set 1, 0, −5, 3, 0, −2, 4, 6, −4, 1, 2 is :
(A) 5/12 (B) 7/13 (C) 6/11 (D) 9/14
Ans:- (C) 6/11
Solution:-
Step 1: Calculate the Mean
The mean is calculated as the sum of all the numbers divided by the total count of numbers.
Sum of the Numbers: 1 + 0 + -5 + 3 + 0 + -2 + 4 + 6 + -4 + 1 + 2 = 6
Total Count of Numbers: 11
Mean: Sum of the Numbers ÷ Total Count of Numbers = 6/11
Step 2: Calculate the Median
To find the median, we first need to sort the data set in ascending order.
Sorted data: -5, -4, -2, 0, 0, 1, 1, 2, 3, 4, 6. The middle number is 1. So the median is 1.
Step 3: Calculate the Product of Mean and Median
Now, we can find the product of the mean and median: 6/11 × 1 = 6/11
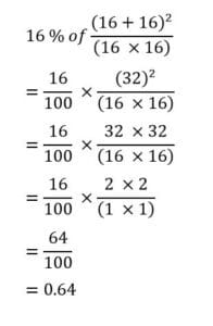
11. 16% of (16+ 16 )2 /( 16 × 16) is :
(A) 0.16 (B) 0.32 (C) 0.48 (D) 0.64
Ans:- (D) 0.64
Solution:-
12. Name the Mughal emperor whose army was defeated at the Battle of Saraighat.
(A) Aurangzeb (B) Shah Jahan (C) Babur (D) Humayun
Ans:- (A) Aurangzeb
13. Which of the following is NOT an Assamese novel ?
(A) Adha Lekha Dostabez (B) Deu Langkhui
(C) Xekh Pristha (D) Ontorip
Ans:- (C) Xekh Pristha
14. Three numbers A, B and C are such that the HCF of A and B is same as the HCF of B and C. If the LCM of A and B is three times the LCM of B and C, then the ratio C : A is :
(A) 1 : 9 (B) 3 : 1 (C) 9 : 1 (D) 1 : 3
Ans:- (D) 1 : 3
Let’s denote,
HCF of (A and B) = h1
HCF of (B and C) = h2
LCM of (A and B) = L1
LCM of (B and C) = L2
Given that h1 = h2 and L1 = 3L2.
We know that, The product of the H.C.F. and L.C.M. of any two numbers is always equal to the product of those two numbers.
So, Product of the two numbers = Product of the H.C.F. and L.C.M.
So, A × B = h1 × L1—————(i) and
B × C = h2 × L2.———-(ii)
From the problem, we know that, L1 = 3L2 Substituting this into equation (i) we get:
A × B = h1 × 3L2 —————-(iii)
Dividing equation (ii) from equation (iii), we get: C / A is 1 / 3
Therefore, the ratio C : A is 1 : 3.
15. Who amongst the following has been awarded the Gyanpith Award in 2024 ?
(A) Gulzar (B) Arup Kumar Dutta (C) Ratan Thiyem (D) Nilamani Phukan
Ans:- (A) Gulzar
16. Yesterday just after sunrise Rajiv met Samir and was talking, when Rajiv noticed that Samir’s shadow was seen towards the right of Rajiv. Which direction was Samir facing ?
(A) South (B) East (C) West (D) North
Ans:- (D) North
17. Which Hindi poet is known for “Madhushala” and “Agneepath” ?
(A) Ramdhari Singh Dinkar (B) Haribansh Rai Bachchan
(C) Sumitranandan Pant (D) Maithili Sharan Gupt
Ans:- (B) Haribansh Rai Bachchan
18. The product of two binary numbers 101 and 10 expressed in binary numbers is :
(A) 1001 (B) 1010 (C) 1100 (D) 1110
Ans:- (B) 1010
19. Kalbelia is a folk dance form of which region of India ?
(A) Kumaon region (B) Chota Nagpur region
(C) Konkan region (D) Thar desert region
Ans:- (D) Thar desert region
20. The average of 9 observations was 9, that of the first 5 being 10 and that of the last 5 being 8. What was the fifth observation ?
(A) 8 (B) 7 (C) 9 (D) 10
Ans:- (C) 9
21. Which of the following colours is NOT seen on the Olympic flag ?
(A) Green (B) Yellow (C) Orange (D) Black
Ans:- (C) Orange
22. A metal sphere of radius 24 cm is cut into 8 equal pieces and one piece is melted in the form of a sphere. The radius of the new sphere is :
(A) 12 cm (B) 8 cm (C) 15 cm (D) 10 cm
Ans:- (A) 12 cm
23. In Assamese literature, who is known as the “Dhwani Kabi” ?
(A) Binanda Chandra Barua (B) Ananda Chandra Agarwalla
(C) Mahendranath Deka Phukan (D) Mafijuddin Ahmed Hazarika
Ans:- (A) Binanda Chandra Barua
24. Rearrange the following components to form a correct sentence.
(i) where no man had
(ii) here we are strolling
(iii) ever set foot before
(iv) on the surface of the moon
(A) (i) – (ii) – (iii) – (iv)
(B) (ii) – (iii) – (i) – (iv)
(C) (ii) – (iv) – (i) – (iii)
(D) (i) – (iv) – (iii) – (ii)
Ans:- (C) (ii) – (iv) – (i) – (iii)
25. Which country are Kira and Gho the national dress of ?
(A) Nepal (B) Cambodia (C) Bhutan (D) Vietnam
Ans:- (C) Bhutan
26. Which of the following is NOT a non-metallic mineral ?
(A) Silica (B) Limestone (C) Bauxite (D) Dolomite
Ans:- (C) Bauxite
27. Which of the following is correct ?
(A) Volcano cannot exist underwater.
(B) Sea does not have any water current.
(C) Almost 70% of earth surface is filled with water.
(D) Land mass is almost half of earth’s surface.
Ans:- (C) Almost 70% of earth surface is filled with water.
28. Which present region of India did King Lalitaditya (Muktapida) have his empire in ?
(A) Northeast India (B) Kashmir region
(C) The Kutch area (D) The Deccan region
Ans:- (B) Kashmir region
29. Identify the pair which does not follow the common pattern.
(A) 6 : OXYGEN (B) 5 : ARGON (C) 7 : CADMIUM (D) 8 : BROMINE
Ans:- (D) 8 : BROMINE
30. Who amongst the following has not won the Jnanpith Award ?
(A) Birendranath Dutta (B) Nilamani Phukan
(C) Hiren Bhattacharyya (D) Mamoni Roisom Goswami
Ans:- (C) Hiren Bhattacharyya
31. Find the value of
1+1+22+332+63+421 + \frac{1 + 2\sqrt{2} + 3\sqrt{3}}{2 + 6\sqrt{3} + 4\sqrt{2}} (A) Pratidhwani (B) Krishnachura
(A) 1/6√2 (B) 1/2 (C) 3/2 (D) √3/2
Ans:-(C) 3/2
32. Which Assamese movie is based on Bhabendra Nath Saikia’s novel, Ontorip ?
(A) Pratidhwani (B) Krishnachura
(C) Barua’r Xonxaar (D) Agnisnan
Ans:- (D) Agnisnan
33. (1% of 1)+(2% of 2)+(3% of 3)=?
(A) 0.06 (B) 0.6 (C) 0.41 (D) 0.14
Ans:- (D) 0.14
34. A curved waterbody formed when a river changes its course to take a shorter path is known as :
(A) Archipelago (B) Isthmus
(C) Oxbow lake (D) Delta
Ans:- (C) Oxbow lake
35. A cone has a base radius of 4 cm and height of 9 cm. The volume of the cone is :
(A) 36π cm3
(B) 48π cm3
(C) 13π cm3
(D) 24π cm3
Ans:- (B) 48π cm3
36. In which city is Dalal Street located ?
(A) Kolkata (B) Chennai (C) Hyderabad (D) Mumbai
Ans:- (D) Mumbai
37.
Ans:- (c) 8
38. If a/b= 4/3 then the value of (6a+2b)/(4a-2b)=
(A) 3 (B) 4 (C) 5 (D) 6
Ans:- (A) 3
39. If cosθ= 5/13 , then the value of sinθ is :
(A) 5/12 (B) 12/5 (C) 12/13 (D) 13/12
Ans:- (A) 5/12
40. As per the diagram, which zone represents married nurse who should be sent for training ?
(A) 2 (B) 4 (C) 3 (D) 7
Ans:- (B) 4
41. The value of √0.09 + √1.69 :
(A) 1.78 (B) 1.6 (C) 1.33 (D) 1.5
Ans:- (B) 1.6
42. Identify the sport related to (Major) Dhyan Chand.
(A) Football (B) Wrestling (C) Boxing (D) Hockey
Ans:- (D) Hockey
43. Identify the incorrect term in the series.
{5, 8, 13, 20, 31, 40, 53}
(A) 13 (B) 31 (C) 20 (D) 40
Ans:- (B) 31
44. A sector of angle 300 is cut out from a circular disc of radius 6 cm. The area of the cut sector in cm2 units is :
(A) 3π (B) 4π (C) 5π (D) 6π
Ans:- (A) 3π
45. Which of the following countries is the farthest from Andaman and Nicobar Islands ?
(A) Myanmar (B) Indonesia (C) Vietnam (D) Malaysia
Ans:- (C) Vietnam
46. Which State is the Dandiya Raas a popular folk dance of ?
(A) Rajasthan (B) Gujarat (C) Odisha (D) Maharashtra
Ans:- (B) Gujarat
47. A person moves from P to Q in a semi-circular path and then comes back to P by the shortest route, which is 4 km. The total path covered by the person in the entire journey is :
(A) (4π+2) km (B) (2π+4) km (C) (π+2) km (D) (2π+2) km
Ans:- (B) (2π+4) km
48. Sagor Dekhisa, a collection of Assamese poems was written by :
(A) Devakanta Barua (B) Navakanta Barua
(C) Banikanta Kakati (D) Rajanikanta Bordoloi
Ans:- (A) Devakanta Barua
49. The longest diagonal that can be found in a regular cube of side 1 cm is :
(A) 2 cm (B) √2 cm (C) 3 cm (D) √3 cm
Ans:- (D) √3 cm
50. Which of the following is different from the rest ?
(A) Samaveda (B) Rigveda (C) Yajurveda (D) Ayurveda
Ans:- (D) Ayurveda
51. Two bells A and B are rung such that the bell A rings at every 30 minutes and the bell B rings at every 25 minutes. If both the bells start ringing simultaneously at 6 am, then the very next simultaneous ring will be at the time :
(A) 8 : 00 am (B) 8 : 30 am (C) 9 : 00 am (D) 9 : 30 am
Ans:- (B) 8 : 30 am
52. A + B means A is to the North of B; A%B means A is to the East of B; A−B means A is to the West of B; then in (Neptune % Saturn + Uranus − Jupiter) Uranus is in which direction with respect to Neptune ?
(A) South – West (B) North – East (C) North – West (D) South – East
Ans:- (A) South – West
53. Who played the title role in the 1969 version of Dr. Bezbaruah ?
(A) Nipon Goswami (B) Biju Phukan
(C) Dwipen Baruah (D) Brojen Baruah
Ans:- (D) Brojen Baruah
54. Which word would substitute the marked portion – “The Zebra stripes on roads are for crossing by people who are walking .” ?
(A) Pedestrian (B) Pediatrician
(C) Pollination (D) Postulation
Ans:- (A) Pedestrian
55. Which of the following is a State of the United States of America ?
(A) Hawai (B) Fiji
(C) Papua New Guinea (D) Solomon Island
Ans:- (A) Hawai
56. Fill in the blank.
January was the __________ month last year.
(A) Cold (B) Colder (C) Coldest (D) Cool
Ans:- (C) Coldest
57. Which two countries does the Gobi Desert touch ?
(A) Sudan and Egypt (B) Saudi Arabia and Iraq
(C) Turkmenistan and Uzbekistan (D) China and Mongolia
Ans:- (D) China and Mongolia
58. The population of a town increases at the rate of 10% every year. If the present population of the town is 10,000, then after 3 years the population of the town would be :
(A) 13,310 (B) 15,310 (C) 13,510 (D) 13,000
Ans:- (A) 13,310
59. Which sport did P.T. Usha play ?
(A) Athletics (B) Badminton (C) Table Tennis (D) Cricket
Ans:- (A) Athletics
60. Which word would you replace for the underlined word to reverse the meaning of the sentence?
“Food in this hotel is worse than that provided at our hostel.”
(A) good (B) better (C) best (D) excellent
Ans:- (B) better
61. The addition of two binary numbers 11 and 10, when represented in binary system is :
(A) 101 (B) 110 (C) 010 (D) 111
Ans:- (A) 101
62. Which of the following is best depicted by the diagram ?
(A) Cat, Fat, Rat (B) Food, Clothes, Friends
(C) Assam, India, Asia (D) Geometry, Botany, Economics
Ans:- (A) Cat, Fat, Rat
63. On which island hillock is the Umananda Temple situated ?
(A) Bhasmachal (B) Sandhyachal (C) Nilachal (D) Chitrachal
Ans:- (A) Bhasmachal
64. Identify the proper noun in the following list.
(A) High mountain (B) Black car (C) Deep sea (D) Pacific Ocean
Ans:- (D) Pacific Ocean
65. Which of the following is a part of Mahabharata ?
(A) Upanishads (B) Puranas (C) Vedas (D) Gita
Ans:- (D) Gita
66. The primary raw material used by the Assam Bio Refinery Private Limited is :
(A) Bamboo (B) Water Hyacinth
(C) Sugarcane waste (D) Banana plants
Ans:- (A) Bamboo
67. The least natural number which when divided by 2 gives remainder 1, when divided by 3 gives remainder 2 and when divided by 4 gives remainder 3, is :
(A) 23 (B) 17 (C) 31 (D) 11
Ans:- (D) 11
68. Which of the following is an Assamese jewellery item worn in the ears ?
(A) Golpata (B) Horinsokua (C) Jonbiri (D) Thuriya
Ans:- (D) Thuriya
69. A political and legal process by which a legislative body or other legally constituted tribunal initiates charges against a public official for misconduct is termed as :
(A) Impeachment (B) Re-election
(C) Enforcement (D) Enactment
Ans:- (A) Impeachment
70. The three angles of a triangle are in the ratio of 1 : 3 : 5. The largest angle of the triangle is :
(A) 700 (B) 900 (C) 1200(D) 1000
Ans:- (D) 1000
71. Toyota has its headquarters in :
(A) China (B) South Korea (C) Singapore (D) Japan
Ans:- (D) Japan
72. If Pn represents the product of the natural numbers from 1 to n, then P1+P2+P3+P4 is :
(A) 23 (B) 33 (C) 37 (D) 31
Ans:- (B) 33
73. Which country controls the Suez Canal ?
(A) Turkey (B) Israel (C) Egypt (D) France
Ans:- (C) Egypt
74. Which of the following does saliva in our mouth help to breakdown ?
(A) Starch (B) Protein (C) Vitamins (D) Fat
Ans:- (A) Starch
75. Which Continents does the Mediterranean Sea lie between ?
(A) Asia and Europe (B) Europe and Africa
(C) North America and Africa (D) South America and Africa
Ans:- (B) Europe and Africa
76. If SATURN is coded as TZUTSM, then how will URANUS be coded by same plan ?
(A) TSZOTT (B) VQBMVR (C) VQBOUS (D) VSBOVT
Ans:- (B) VQBMVR
77. Which of the following is a collective noun for ships ?
(A) pack (B) herd (C) swarm (D) fleet
Ans:- (D) fleet
78. A tank can be filled by 6 pipes in 80 minutes. How long will it take to fill the tank by 8 pipes ?
(A) 45 min (B) 60 min (C) 48 min (D) 70 min
Ans:- (B) 60 min
79. Grandmother was cooking at a picnic, attended by her son and daughter-in-law, with their four sons and their wives and one son and two daughters to each of the sons. How many ladies were there at the picnic ?
(A) 8 (B) 12 (C) 14 (D) 10
Ans:- (C) 14
80. “The invigilator could not detect that the two boys were exchanging notes under his nose .” What is the meaning of the marked portion ?
(A) With due permission (B) Right in front
(C) With active help (D) In small pieces of paper
Ans:-(B) Right in front
81. For which sport was T. Ao the captain of Indian team ?
(A) Badminton (B) Hockey (C) Football (D) Volleyball
Ans:-(C) Football
82. 72 toffees were distributed to some boys in a group. Each boy in the group got twice as many of the toffees as the number of boys. The number of boys in the group is :
(A) 6 (B) 7 (C) 8 (D) 9
Ans:-(A) 6
83. Identify the correctly spelt word.
(A) Conservation (B) Consarvation
(C) Conservetion (D) Conservasion
Ans:-(A) Conservation
84. The Civil wars termed as the Wars of the Roses was fought for which throne ?
(A) British throne (B) French throne
(C) Russian throne (D) Spanish throne
Ans:-(A) British throne
85. Which of the following statements is correct ?
(A) Sikkim shares border with Assam.
(B) Sikkim lies towards the west of Assam.
(C) Assam shares borders with Sikkim and Meghalaya.
(D) Bangladesh and Sikkim touch the borders of Assam.
Ans:- (B) Sikkim lies towards the west of Assam.
86. Which country did the martial art Taekwondo originate in ?
(A) Thailand (B) China (C) Korea (D) Vietnam
Ans:-(C) Korea
87. Which of the following is incorrectly matched ?
(A) Class I lever : Pliers (B) Class II lever : Nail cutter
(C) Class III lever : Nutcracker (D) Class II lever : Bottle opener
Ans:-(C) Class III lever : Nutcracker
88. As on 1st of January, 2024, who is the President of Ukraine ?
(A) Joe Biden (B) Vladimir Putin (C) Valerii Zaluzhn (D) Volodymyr Zelenskyy
Ans:-(D) Volodymyr Zelenskyy
89. The Padmanabhaswami Temple is in which city ?
(A) Bengaluru (B) Chennai (C) Madurai (D) Thiruvananthapuram
Ans:-(D) Thiruvananthapuram
90. Who has won the highest number of gold medals in the Olympic Games ?
(A) Mark Spitz (B) Michael Phelps (C) Jesse Owens (D) Paavo Nurmi
Ans:-(B) Michael Phelps
91. To which emperor was Chanakya the royal advisor ?
(A) Samudragupta (B) Ashoka
(C) Chandragupta Maurya (D) Skandagupta
Ans:-(C) Chandragupta Maurya
92. Which of the following countries does the Mediterrean Sea not touch ?
(A) Spain (B) Portugal (C) Lebanon (D) France
Ans:-(B) Portugal
93. Consider the five numbers given here :
(i) 736 (ii) 269 (iii) 958 (iv) 219 (v) 793
Arrange the digits of each number in descending order. What would be the difference between the highest number and the lowest one ?
(A) 222 (B) 716 (C) 618 (D) 12
Ans:-(A) 222
94. Near which place, a statue of Jongal Balahu has been erected ?
(A) Raha (B) Dibrugarh (C) Dhuburi (D) Karimganj
Ans:-(A) Raha
95. Who of the following is NOT a Lawn Tennis player ?
(A) Leander Paes (B) Vijay Amritraj
(C) Mahesh Bhupathi (D) Pullela Gopichand
Ans:-(D) Pullela Gopichand
96. Which of the following is a stringed musical instrument of Assam ?
(A) Dogor (B) Xutuli (C) Kaaliya (D) Tokari
Ans:-(D) Tokari
97. A six-faced die is made in such a way that the sum of the dots on the opposite faces are always equal. Which of the following pairs is not opposite facing pair of the die ?
(A) 1, 4 (B) 2, 5 (C) 1, 6 (D) 3, 4
Ans:-(A) 1, 4
98. Identify the correct definition of verb.
(A) Naming words (B) Things description words
(C) Action words (D) Joining words
Ans:-(C) Action words
99. Which of the following is an example of Indirect Tax of India ?
(A) Gift Tax (B) Income Tax
(C) Goods and Services Tax (D) Capital Gains Tax
Ans:-(C) Goods and Services Tax
100. Mark the correct word as synonym of “affluent”.
(A) Meeting (B) Discussion (C) Wealthy (D) Poverty
Ans:-(C) Wealthy
101. Who wrote Pride and Prejudice ?
(A) Jane Austen (B) Barbara Cartland (C) Agatha Christie (D) Virginia Woolfe
Ans:-(A) Jane Austen
102. If sinθ=cosθ then the value of 1+tanθ is :
(A) 1 (B) 2 (C) 0 (D) √2
Ans:-(B) 2
103. The product of the roots of the quadratic equation 2x2−5x+6=0 is :
(A) 2 (B) 3 (C) 5 (D) 6
Ans:-(B) 3
104. Which is the odd one out of the list ?
(A) Chapters (B) Preface (C) Index (D) Book
Ans:-(D) Book
105. At a class test for 50 students, the average score was found to be 45.5 out of 100. Upon checking, it was found that an incorrect data-entry had occurred where 85 was incorrectly entered as 58. What should be the correct class average ?
(A) 54.50 (B) 46.04 (C) 46.40 (D) 55.40
Ans:-(B) 46.04
106. Siachen in Ladakh is an example of :
(A) Cold desert (B) Glacier (C) Plateau (D) Snow mountain
Ans:-(B) Glacier
107. Which of the following mountain ranges is in Jammu and Kashmir region ?
(A) Pir Panjal range (B) Satpura range
(C) Dhauladhar range (D) Mishimi Hills
Ans:-(A) Pir Panjal range
108. The sum of the roots of the quadratic equation 2x2−5x+3=0 is :
(A) 2
(B) 3/2
(C) 5/2
(D) 5
Ans:-(C) 5/2
109. Who or What is Doraemon ?
(A) A river in Brazil (B) A Hollywood actor
(C) A type of aircraft (D) A cartoon character
Ans:-(D) A cartoon character
110. In which sport did Monalisa Baruah (Mehta) and Tridib Duarah represent Assam ?
(A) Badminton (B) Volleyball (C) Taekwondo (D) Table Tennis
Ans:-(D) Table Tennis
111. A person borrows a sum of ` 1,00,000 at a simple interest of 6% per annum for 2 years and invests the amount at a compound interest of 6% per annum for 2 years. After returning the borrowed amount with interest, the person earns a profit of :
(A) ` 360 (B) ` 120 (C) ` 480 (D) ` 240
Ans:- (A) ` 360
112. Identify the correct mirror image of the figure.
Ans:- (B)
113. Which of the following is an award exclusively for music industry ?
(A) The Oscars (B) Emmy Awards (C) Golden Globe (D) Grammy Awards
Ans:-(D) Grammy Awards
114. A person purchases x number of items at the rate of ₹x per item. The shop-keeper gives him a total
discount of `₹ x after which he pays ` ₹156. The cost per item after the discount is :
(A) ` ₹13 (B) ` ₹12 (C) ` ₹16 (D) `₹ 14
Ans:-(B) ` ₹12
115. Which type of Democracy is presently being practised in India ?
(A) Direct Democracy (B) Representative Democracy
(C) Social Democracy (D) Totalitarian Democracy
Ans:-(B) Representative Democracy
116.
(A) − 7/12 (B)− 20/27 (C) −5/9 (D) 11/36
Ans:- (D) 11/36
117. Which of the following is incorrect in regards of the ICC Men’s ODI Cricket World Cup ?
(A) India has won the Cup twice.
(B) Australia has won the maximum number of times.
(C) England won the Cup in the first tournament.
(D) Bangladesh has never won the Cup.
Ans:-(C) England won the Cup in the first tournament.
118. In which country was Christopher Columbus born ?
(A) Spain (B) England (C) Portugal (D) Italy
Ans:-(D) Italy
119. How many times has Brazil won the Football World Cup ?
(A) Three (B) Five (C) Four (D) Seven
Ans:-(B) Five
120. Which of the following diagrams best represents Writers, Teachers and Musicians of our society ?
Ans:- (D)
121. Who has been honoured with Assam Baibhav in 2024 ?
(A) Ratan Tata (B) Ranjan Gogoi
(C) Tapan Saikia (D) Ranjit Shekhar Mooshahary
Ans:-(B) Ranjan Gogoi
122. A geometric figure has two pairs of parallel lines, intersecting at right angle. One pair is of length 8 cm each, and the other pair is of 6 cm. If the longer pair size is increased by 2 cm each, while the shorter pair is reduced by 2 cm, which of the following statements is correct ?
(A) Area of the figure decreases (B) Perimeter of the figure increases
(C) Perimeter of the figure decreases (D) Area of the figure increases
Ans:- (A) Area of the figure decreases
123. Which of the following places does not host IPL matches ?
(A) Mumbai (B) Dharamshala (C) Patna (D) Hyderabad
Ans:-(C) Patna
124. Who is the Director of the movie “Village Rockstars” ?
(A) Rima Das (B) Hima Das (C) Munin Das (D) Queen Das
Ans:-(A) Rima Das
125. Apart from Jaipur, which was the home ground of Rajasthan Royals during IPL 2023 ?
(A) Guwahati (B) Dharamshala (C) Bhubaneshwar (D) Panaji
Ans:-(A) Guwahati
Change the following (126 & 127) into passive voice.
126. Previous climbers had cut steps in the ice.
(A) Steps had been cut in the ice (B) Steps were cut in the ice
(C) Climbers cut steps in the ice (D) Steps cut in the ice by climbers
Ans:- (A) Steps had been cut in the ice
127. No one can do anything unless someone gives us more information.
(A) Nothing can be done without giving information.
(B) Nothing can be done unless we are given more information.
(C) Nothing can be done unless someone gives more information.
(D) Nothing can be done without information.
Ans:- (B) Nothing can be done unless we are given more information.
128. Which word from the following is similar to beckon ?
(A) light (B) beg (C) motion (D) hear
Ans:- (C) motion
129. Which of these words is closest in meaning to the word kin ?
(A) exult (B) twist (C) friend (D) relative
Ans:- (D) relative
130. What would be the synonym for the word educe ?
(A) demand (B) elicit (C) ideal (D) unlawful
Ans:- (B) elicit
131. Choose the sentence that correctly communicates the meaning in the following sentence.
(A) Barua was usually able to catch the six thirty-five train from Guwahati
(B) Barua was usually able to catch a six thirty-five train from Guwahati
(C) Barua was usually able to catch on six thirty-five train from Guwahati
(D) Barua was usually able to latch the six thirty-five train from Guwahati
Ans:- (A) Barua was usually able to catch the six thirty-five train from Guwahati
132. Put the verb in brackets into the present perfect tense, and fill the space by repeating the auxiliary.
Where you (be)?—
I (be) to the dentist.
(A) have you had, I have been (B) have you gone, I have been
(C) have you been, I’ve been (D) went, I went
Ans:- (C) have you been, I’ve been
Read the following passage and answer the questions (133-136) that follow :
The Okapi, a forest mammal of Central Africa, has presented zoologists with a number of difficult questions since they first learned of its existence in 1900. The first was how to classify it. Because it was horselike in dimension, and bore patches of striped hide similar to a zebra’s (a relative of the horse), zoologists first classified it as a member of the horse family. But further studies showed that, despite Okapis’ coloration and short necks, their closest relatives were giraffes. The Okapi’s rightful place within the giraffe family is confirmed by its skin-covered horns (in males), two-lobed canine teeth, and long prehensile tongue.
The vital question concerned the size of the Okapi population. Because Okapis were infrequently captured by hunters, some zoologists believed that they were rare; however, others theorized that their habits simply kept them out of sight. It was not until 1985, when zoologists started tracking Okapis by affixing collars equipped with radio transmitters to briefly captured specimens, that reliable information about Okapi numbers and habits began to be collected. It turns out that while Okapis are not as rare as some zoologists suspected, their population is concentrated in an extremely limited chain of forestland in north-eastern Central Africa, surrounded by savanna.
One reason for their seeming scarcity is that their coloration allows Okapis to camouflage themselves even at close range. Another is that Okapis do not travel in groups or with other large forest mammals, and neither frequent open riverbanks nor forage at the borders of clearings, choosing instead to keep to the forest interior. This is because Okapis, unlike any other animal in the Central African forest, subsist entirely on leaves: more than one hundred species of plants have been identified as part of their diet, and about twenty of these are preferred. Okapis never eat one plant to the exclusion of others; even where preferred foliage is abundant, Okapis will leave much of it uneaten, choosing to move on and sample other leaves. Because of this, and because of the distribution of their food, Okapis engage in individual rather than congregated foraging.
But other questions about Okapi behaviour arise. Why, for example, do they prefer to remain within forested areas when many of their favourite plants are found in the open border between forest and savanna ? One possibility is that this is a defence against predators; another is that the Okapi was pushed into the forest by competition with other large, hoofed animals, such as the bushbuck and bongo, that specialize on the forest edges and graze them more efficiently. Another question is why Okapis are absent from other nearby forest regions that would seem hospitable to them. Zoologists theorize that Okapis are relics of an era when forestland was scarce and that they continue to respect those borders even though available forestland has long since expanded.
133. The word hide in the first paragraph means :
(A) smell (B) evade (C) skin (D) land
Ans:- (C) skin
134. The function of the third paragraph is to :
(A) pose a question about Okapi behaviour
(B) rebut a theory about Okapi behaviour
(C) counter the assertion that Okapis are rare
(D) explain why Okapis appeared to be rare
Ans:- (D) explain why Okapis appeared to be rare
135. Okapis stay within the forest interior. The passage relates this to the __________ of the Okapi.
(A) scarcity (B) mind (C) culture (D) size
Ans:- (A) scarcity
136. Zoologists assume that Okapis are relics and they respect the forestland borders. It means :
(A) Okapis are humanoid creatures
(B) They are culturally inclusive
(C) They communicate with other bordering creatures
(D) None of the above
Ans:- (D) None of the above
Read the following sentences (137 & 138) and try to choose the best definition for the italicized word by searching for context clues in the sentence
137. Mr. Powers was so gullible that he believed even the most outlandish excuses of his insincere
employees.
(A) intelligent (B) naive (C) dishonest (D) critical
Ans:- (B) naive
138. The new shipping and receiving building is an expansive facility, large enough to meet our growing
needs.
(A) obsolete (B) meagre (C) spacious (D) costly
Ans:- (C) spacious
Read the following passage and answer the questions (139-142) that follow :
Today, bicycles are elegantly simple machines that are common around the world. Many people ride bicycles for recreation, whereas others use them as a means of transportation. The first bicycle, called a draisienne, was invented in Germany in 1818 by Baron Karl de Drais de Sauerbrun. Because it was made of wood, the draisienne wasn’t very durable nor did it have pedals. Riders moved it by pushing their feet against the ground.
In 1839, Kirkpatrick Macmillan, a Scottish blacksmith, invented a much better bicycle. Macmillan’s machine had tyres with iron rims to keep them from getting worn down. He also used foot-operated cranks, similar to pedals, so his bicycle could be ridden at a quick pace. It didn’t look much like the modern bicycle, though, because its back wheel was substantially larger than its front wheel. Although Macmillan’s bicycles could be ridden easily, they were never produced in large numbers. In 1861, Frenchman Pierre Michaux and his brother Ernest invented a bicycle with an improved crank mechanism. They called their bicycle a vélocipède, but most people called it a “bone shaker” because of the jarring effect of the wood and iron frame. Despite the unflattering nickname, the vélocipède was a hit. After a few years, the Michaux family was making hundreds of the machines annually, mostly for fun-seeking young people.
Ten years later, James Starley, an English inventor, made several innovations that revolutionized bicycle design. He made the front wheel many times larger than the back wheel, put a gear on the pedals to make the bicycle more efficient, and lightened the wheels by using wire spokes. Although this bicycle was much lighter and less tiring to ride, it was still clumsy, extremely top-heavy, and ridden mostly for entertainment.
It wasn’t until 1874 that the first truly modern bicycle appeared on the scene. Invented by another Englishman, H.J. Lawson, the safety bicycle would look familiar to today’s cyclists. The safety bicycle had equal-sized wheels, which made it much less prone to toppling over. Lawson also attached a chain to the pedals to drive the rear wheel. By 1893, the safety bicycle had been further improved with airfilled rubber tyres, a diamond-shaped frame, and easy braking. With the improvements provided by Lawson, bicycles became extremely popular and useful for transportation. Today, they are built, used, and enjoyed all over the world.
139. The first person to use a gear system on bicycles was :
(A) H.J. Lawson (B) Kirkpatrick Macmillan
(C) Pierre Michaux (D) James Starley
Ans:-(D) James Starley
140. Which of the following statements from the passage represents the writer’s opinion ?
(A) The safety bicycle would look familiar to today’s cyclists.
(B) Two hundred years ago, bicycles didn’t even exist.
(C) The Michaux brothers called their bicycle a vélocipède.
(D) Macmillan’s machine had tyres with iron rims.
Ans:- (A) The safety bicycle would look familiar to today’s cyclists.
141. Read the following sentence from the fourth paragraph :
Ten years later, James Starley, an English inventor, made several innovations that revolutionized bicycle design.
As it is used in the sentence, the underlined word revolutionized means :
(A) cancelled
(B) changed drastically
(C) became outdated
(D) exercised control over
Ans:- (B) changed drastically
142. Macmillan added iron rims to the tyres of his bicycle to :
(A) add weight to the bicycle
(B) make the tyres last longer
(C) make the ride less bumpy
(D) make the ride less tiring
Ans:- (B) make the tyres last longer
143. Find the analogy of the relation between the words from those given below on the basis of the indicative uppercase word-pair preceding the choices.
SHELF : BOOKCASE
(A) arm : leg (B) stage : curtain
(C) bench : chair (D) key : piano
Ans:- (D) key : piano
144. This application was written __________ a pen.
(A) by (B) with (C) off (D) nib
Ans:- (B) with
145. Choose the correct pair to fill up the blanks :
He put some __________ on the hinge, so that it should not __________.
(A) oil, squeak (B) water, spill
(C) colour, stand (D) paper, seat
Ans:- (A) oil, squeak
146. Read the following passage and answer the question that follows :
Light pollution is a growing problem worldwide. Like other forms of pollution, light pollution degrades the quality of the environment. Where it was once possible to look up at the night sky and see thousands of twinkling stars in the inky blackness, one now sees little more than the yellow glare of urban sky-glow. When we lose the ability to connect visually with the vastness of the universe by looking up at the night sky, we lose our connection with something profoundly important to the human spirit, our sense of wonder.
The passage implies that the most serious damage done by light pollution is to our :
(A) art history (B) sense of paleness
(C) cultural advancement (D) questing spirit
Ans:- (D) questing spirit
147. Everyone admired ___________ his courage.
(A) at (B) of
(C) for (D) no word required
Ans:- (D) no word required
Read the passage and answer the questions (148-150) that follow :
Reality for human beings is not action or feeling but meaning. Humans are symbol using creatures; a symbol is anything that carries a particular meaning recognised by the people who share culture. A whistle, a wall of graffiti, a flashing red light, a fist raised in the air—all serve as symbols. We see the human capacity to create and manipulate symbols in the various ways a simple wink of the eye can convey interest, understanding, or insult. We are so dependent on our culture’s symbols that we take them for granted. Often, however, we gain a heightened sense of the importance of a symbol when someone uses it in an unconventional way. Entering an unfamiliar culture also reminds us of the power of symbols; culture shock is nothing more than the inability to “read” meaning in one’s surroundings. We feel lost, unsure of how to act, and sometimes frightened—a consequence of slipping outside the symbolic web of culture. Culture shock is both what travellers experience and what they inflict on others by acting in ways that may offend them.
148. How is reality defined as in the passage ?
(A) meaning (B) action
(C) feeling (D) web
Ans:- (A) meaning
149. In the context of the passage, which of the following does not serve as a symbol ?
(A) whistle (B) graffiti
(C) flashing red light (D) culture shock
Ans:- (D) culture shock
150. In the context of the topic of the passage, when do we feel lost, or frightened ?
(A) When we lose in a competition
(B) When we slip outside the symbolic web of culture
(C) When we cannot locate our action
(D) None of the above
Ans:- (B) When we slip outside the symbolic web of culture
If you find any mistake in the answer and option, please send us an email at growgk.com@gmail.com
